Refrigeratore quantistico e rumore non sono più concetti in contraddizione. In un esperimento condotto su circuiti superconduttori, i ricercatori hanno dimostrato che il dephasing, tradizionalmente considerato un effetto distruttivo per la coerenza quantistica, può diventare una risorsa attiva per estrarre calore e raffreddare modi microwave propaganti. Il risultato non è solo una curiosità di laboratorio, ma una realizzazione sperimentale completa di una macchina termica quantistica a tre livelli, capace di operare come motore termico, acceleratore termico o refrigeratore, semplicemente variando i parametri dei bagni e del rumore applicato.
Cosa leggere
Architettura del dispositivo superconduttore
Il cuore del sistema è una molecola artificiale diatomica, realizzata accoppiando due transmon flux-tunabili nominalmente identici. Ogni transmon è costituito da due isole superconduttrici che formano un condensatore, shuntato da un SQUID e controllato tramite una linea di flusso magnetico. L’accoppiamento tra i due transmon introduce un manifold di singola eccitazione in cui emergono due stati collettivi distinti: uno simmetrico e uno antisimmetrico, separati in frequenza da due volte il tasso di accoppiamento, pari a 560 MHz.

b I transmoni rappresentano due qubit accoppiati, ciascuno dei quali può essere sfasato attraverso un canale accoppiato longitudinalmente.
c Riflettanza, ∣ r ∣ 2 , attraverso una guida d\’onda simmetrica (S) e antisimmetrica (A) in funzione della tensione di polarizzazione del flusso applicata. Il tasso di accoppiamento, g , si ottiene nel punto in cui Δ = ω s − ω a = 2 g è minimizzato.
d Diagramma dei livelli energetici che mostra gli stati di simmetria pari (rosso) e dispari (blu) fino alla seconda varietà di eccitazione della molecola artificiale realizzata con i transmoni. Le transizioni che preservano la simmetria (rosso) e che invertono la simmetria (blu) si accoppiano prevalentemente, rispettivamente, alla guida d\’onda S e A. Per chiarezza, le transizioni verso stati eccitati superiori sono state omesse. L\’effetto del defasamento del qubit nudo nell\’immagine dello stato collettivo è quello di mescolare gli stati. E. e Frequenze di transizione osservate sperimentalmente della molecola nella prima varietà di eccitazione insieme alla transizione successiva più vicina. I riquadri ombreggiati in rosso, blu e giallo rappresentano la densità spettrale dei bagni di calore iniettati corrispondenti alle popolazioni di n S , n A e
n Φ rispettivamente nella guida d\’onda S, nella guida d\’onda A e in una delle linee di flusso.
Due guide d’onda microwave, indicate come S e A, fungono da bagni termici bosonici fisici. L’ingegneria dell’accoppiamento capacitivo è tale da rendere la transizione fondamentale → stato simmetrico fortemente accoppiata alla guida S, mentre la transizione fondamentale → stato antisimmetrico è selettivamente accoppiata alla guida A. La selettività di simmetria è elevata, con rapporti di sovra-accoppiamento che raggiungono 29, garantendo che ciascun modo interagisca quasi esclusivamente con il proprio reservoir.

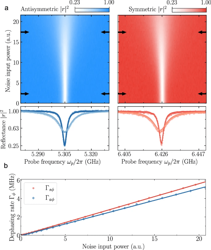
∣ r ∣ 2 , in funzione della frequenza della sonda,
ω p e della potenza del rumore iniettato per la modalità antisimmetrica (sinistra, blu) e simmetrica (destra, rosso). In basso: tagli di linea della riflettanza a potenze di rumore selezionate indicate dalle frecce nei pannelli superiori. Le linee continue sono adattamenti basati sul nostro modello teorico (vedere \”Metodi\”).
b Velocità di sfasamento
Γ s ϕ e
Γ a ϕ della modalità simmetrica e antisimmetrica, rispettivamente, rispetto alla potenza del rumore in ingresso, come estratto dai dati in (
a ).
Un terzo canale, costituito dalla linea di flusso di uno dei transmon, introduce dephasing controllato applicando rumore calibrato. Questo canale non agisce come semplice disturbo, ma come un bagno effettivo a temperatura infinita, capace di indurre transizioni incoerenti tra gli stati simmetrici e antisimmetrici.
Trasporto di eccitazione assistito dal rumore
Per studiare il ruolo del rumore, i ricercatori applicano rumore bianco filtrato alla linea di flusso del primo qubit, con banda di 50 MHz centrata esattamente sul gap energetico tra i due stati collettivi. All’aumentare dell’ampiezza del rumore, si osserva un allargamento controllato delle larghezze di linea dei modi simmetrico e antisimmetrico. L’effetto compare solo quando lo spettro del rumore ponteggia energeticamente la separazione tra i due livelli, dimostrando che il trasferimento non è accidentale ma selettivamente mediato dal rumore.

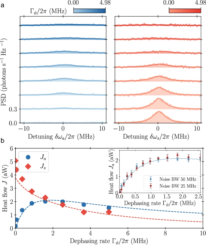
Ω s /2
π = 1,47 MHz.
a Densità spettrale di potenza (PSD) estratta simultaneamente sia dalla guida d\’onda antisimmetrica (blu) che da quella simmetrica (rossa) per diverse velocità di sfasamento. I contributi dello scattering elastico sono stati sottratti dai dati.
b Flusso di calore ottenuto dalla PSD integrata da entrambe le guide d\’onda in funzione dello sfasamento. L\’inserto evidenzia la potenza nella guida d\’onda antisimmetrica sotto due distinte larghezze di banda del rumore. Le barre di errore mostrano la varianza di 49 misurazioni, ciascuna con 1 milione di medie. Le linee tratteggiate rappresentano il risultato delle simulazioni dell\’equazione principale (vedere \”Metodi\”).
Guidando coerentemente il sistema attraverso la guida S, i ricercatori osservano inizialmente, in assenza di dephasing, fluorescenza di risonanza confinata esclusivamente nella stessa guida. Nessun fotone compare nella guida A. Introducendo dephasing, emerge invece un trasferimento di potenza netto verso la guida A: il rumore abilita transizioni incoerenti tra stati simmetrici e antisimmetrici, permettendo all’eccitazione di superare il mismatch energetico.

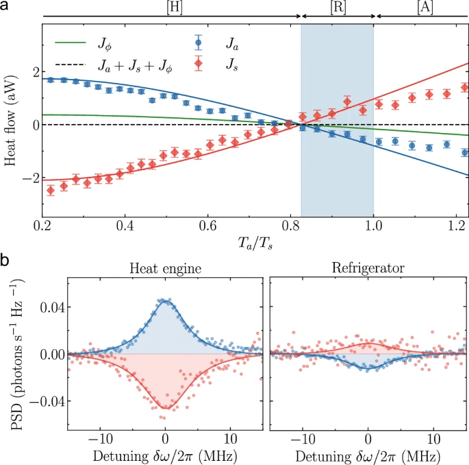
T a /
T s a una velocità di sfasamento fissa
Γ ϕ = 0,94 MHz. Mentre
T s rimane fissa a 177 mK,
T a aumenta dalla temperatura base a 217 mK. La prima regione [H] indica il regime operativo di un motore termico, [R] quello di un frigorifero (regione ombreggiata in blu) e [A] un acceleratore termico. Le barre di errore mostrano la deviazione standard di 63 misurazioni, ciascuna con 1 milione di medie. Le linee continue sono previsioni teoriche derivanti dalla nostra espressione analitica dei flussi di calore attraverso le due guide d\’onda e il canale di sfasamento (linea continua verde) utilizzata con parametri estratti indipendentemente. La linea tratteggiata indica la somma delle previsioni teoriche
J a +
J s +
J ϕ .
b Misurazione della densità spettrale di potenza differenziale (PSD) nel regime operativo del motore termico [H] a
T a /
T s = 0,2 e al centro della regione di refrigerazione [R] a
T a /
T s = 0,92.
Per tassi di dephasing crescenti, la potenza trasferita nella guida A mostra un massimo pronunciato, seguito da una soppressione dovuta alla localizzazione di popolazione nota come effetto quantistico Zeno. Questo comportamento non lineare è la firma tipica del trasporto quantistico assistito dal rumore, un meccanismo noto in sistemi biologici e ora realizzato in un circuito superconduttore controllabile.
Dimostrazione sperimentale della refrigerazione
Una volta caratterizzato il trasporto energetico, il dispositivo viene operato come refrigeratore quantistico. Le due guide d’onda vengono popolate con radiazione microwave quasitermica, generata da elettronica a temperatura ambiente e filtrata attraverso attenuatori dissipativi termalizzati a diversi stadi di un criostato a diluizione. Alla temperatura base di 10 mK, il rumore introdotto è dominato da fluttuazioni di vuoto quantistico, garantendo la natura genuinamente quantistica dei campi.

r nel piano IQ per l\’antisimmetrico (
) in funzione della potenza in ingresso. I punti mostrano i dati misurati e le curve continue la risposta adattata di un sistema pilotato a due livelli. I dati di riflessione adattati vengono utilizzati per estrarre i tassi di accoppiamento e l\’attenuazione totale delle linee di ingresso.
Regolando la potenza del rumore sintetizzato, i ricercatori controllano la temperatura effettiva dei due reservoir. Mantenendo fisso il tasso di dephasing e la temperatura del bagno simmetrico, aumentano progressivamente la temperatura del bagno antisimmetrico e misurano le correnti termiche fotoniche in entrambe le guide. Le misure, effettuate con sensibilità sub-attowatt, mostrano una regione in cui il flusso di calore si inverte rispetto al gradiente di temperatura: il sistema estrae calore dal bagno più freddo e lo trasferisce a quello più caldo.

Questo comportamento identifica chiaramente il regime di refrigerazione quantistica. Il rumore di dephasing fornisce l’energia necessaria a pompare popolazione contro gradiente termico, svolgendo il ruolo di lavoro in una macchina di assorbimento quantistica minimale.
Modello teorico e regimi operativi
L’intero comportamento del dispositivo è descritto quantitativamente da un modello basato su equazioni master di Lindblad, che riproduce i flussi termici osservati senza parametri liberi. Il modello rivela tre regimi distinti al variare del rapporto di temperature dei reservoir:

) modalità sotto forte spinta risonante. I punti mostrano la densità spettrale di potenza misurata e le linee continue i corrispondenti adattamenti.
Nel primo regime, il sistema funziona come motore termico quantistico, convertendo flussi di calore in lavoro fornito al canale di dephasing. Nel regime intermedio, il dispositivo opera come refrigeratore, con input energetico dal rumore che consente il raffreddamento del bagno freddo. Nel terzo regime, quando il bagno antisimmetrico diventa più caldo di quello simmetrico, il sistema agisce come acceleratore termico, amplificando il flusso di calore lungo il gradiente.
In tutti i casi, le leggi fondamentali della termodinamica risultano rispettate. La prima legge emerge dalla conservazione dei flussi totali, mentre la seconda legge è soddisfatta considerando il canale di dephasing come bagno a temperatura infinita, con produzione di entropia sempre non negativa.
Prestazioni e limiti del refrigeratore
Una metrica centrale è il coefficiente di performance, che misura l’efficienza del trasferimento di calore dal reservoir freddo a quello caldo. Nel regime di refrigerazione, il coefficiente risulta costante ed è limitato superiormente dal limite di Carnot, determinato dalle temperature al punto di crossover tra regime di motore e regime di refrigeratore. L’analisi teorica mostra inoltre che l’accoppiamento tra i transmon gioca un ruolo cruciale: aumentando il tasso di accoppiamento, il coefficiente converge verso il limite ideale, mentre accoppiamenti più deboli riducono l’efficienza.
Significato fisico e prospettive
Questo esperimento dimostra in modo diretto che il rumore quantistico, e in particolare il dephasing, può essere ingegnerizzato per svolgere una funzione utile. Invece di degradare le prestazioni di un dispositivo quantistico, il rumore diventa un ingrediente funzionale per macchine termiche di nuova generazione. Il lavoro stabilisce anche una tecnica di misura estremamente sensibile dei flussi termici in guide microwave, aprendo la strada allo studio delle fluttuazioni termiche quantistiche in tempo reale.
In prospettiva, il sistema può essere visto come una simulazione quantistica analogica di un refrigeratore di assorbimento, applicabile anche a reservoir termici più convenzionali, come resistori o elementi a capacità termica finita. La possibilità di misurare non solo i flussi medi, ma anche le loro fluttuazioni, rende questo approccio particolarmente promettente per esplorare relazioni di incertezza termodinamica e i costi energetici fondamentali del controllo quantistico.
FAQ
Iscriviti alla Newsletter
Non perdere le analisi settimanali: Entra nella Matrice Digitale.
Matrice Digitale partecipa al Programma Affiliazione Amazon EU. In qualità di Affiliato Amazon, ricevo un guadagno dagli acquisti idonei. Questo non influenza i prezzi per te.








