giant superatoms entanglement quantistico stabile chalmers

Svolta nel quantum computing: arrivano i “Giant Superatoms” per sconfiggere la decoerenza

Una nuova proposta teorica della Chalmers University of Technology introduce i giant superatoms, una struttura quantistica collettiva capace di generare e trasferire entanglement in modo stabile, riducendo drasticamente il problema della decoerenza. Lo studio, pubblicato su Physical Review Letters, descrive un sistema in cui due o più atomi interagiscono tra loro ma si accoppiano al waveguide attraverso un solo elemento di interfaccia. Questa configurazione non locale sfrutta la dressed interference per proteggere l’informazione quantistica e mantenere la coerenza molto più a lungo rispetto agli approcci convenzionali. Il risultato è una nuova architettura teorica che potrebbe cambiare il modo in cui vengono progettati computer quantistici fault-tolerant e reti quantistiche distribuite.

I giant superatoms superano i limiti dei sistemi quantistici tradizionali

Uno dei principali ostacoli del quantum computing attuale è la rapidissima perdita di coerenza dei qubit. Nei sistemi tradizionali, quando più atomi o qubit si interfacciano a un canale di trasporto come un waveguide, il contatto diretto con l’ambiente introduce rumore, perdite e degradazione dell’entanglement. I giant superatoms cambiano radicalmente questo paradigma. Invece di far accoppiare ogni atomo direttamente al waveguide, il nuovo modello utilizza un solo atomo come interfaccia, mentre gli altri interagiscono localmente nella struttura collettiva. In questo modo il sistema si comporta come un’unica entità quantistica più grande e molto più stabile, con una maggiore capacità di preservare informazione quantistica utile per il calcolo.

La dressed interference controlla la nascita dell’entanglement

Annuncio
image 401
(a) Schema di un GSA bipartito, formato da un atomo gigante (atomo 1) accoppiato direttamente a un atomo aggiuntivo (atomo 2) tramite un’interazione J(b) Relazione di dispersione della catena a legame stretto 1D (che modella la guida d’onda). Le linee colorate indicano le frequenze rilevanti e i corrispondenti vettori d’onda. (c) Livelli energetici vestiti del GSA e corrispondenti accumuli di fase. (d) Evoluzione temporale della fedeltà ℱDi |𝜓⁡(𝑡)⟩riguardo a |𝜓⁡(0)⟩per diversi valori di NAltri parametri sono 𝜔1 =𝜔2 =0, gN⁡/g0 ≡1, 𝜉/g0 =15, J =√2⁢𝜉, E |𝜓⁡(0)⟩=(𝜎(1) ++𝜎(2) +)|⁢G⟩/√2.

Il cuore teorico della proposta è la dressed interference, un meccanismo in cui le ampiezze di probabilità degli stati quantistici si combinano con fasi attentamente controllate. Attraverso interferenze costruttive e distruttive, il sistema riesce a creare entanglement robusto tra gli atomi senza disperdere rapidamente la coerenza nel waveguide. Questo non riguarda solo la generazione iniziale dello stato entangled, ma anche il suo trasferimento controllato tra diversi giant superatoms, aprendo la possibilità di scambiare informazione quantistica tra nodi distribuiti. La bellezza del modello sta proprio nella capacità di usare il canale di trasporto non come fonte di perdita, ma come elemento funzionale e protetto del trasferimento quantistico.

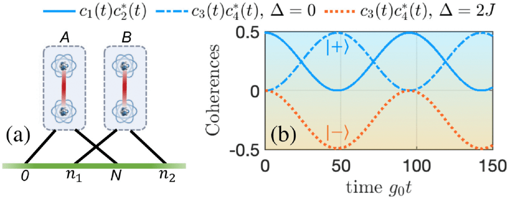
Le configurazioni braided aumentano ulteriormente la robustezza

image 402
(a) Schema della struttura intrecciata GSA. (b) Evoluzione temporale delle coerenze atomiche. Cl⁡(𝑡)⁢C* l′⁡(𝑡)per due valori diversi di Δ, partendo da uno stato iniziale |𝜓⁡(0)⟩=(𝜎(1) ++𝜎(2) +)|⁢G⟩/√2Altri parametri sono 𝜔1 =𝜔2 = 𝜔3 −Δ =𝜔4 −Δ =0, g0 =gn1 =gN =gn2con {n1,N,n2} = {1,4,5}, 𝜉/g0 =15, E J =J′ =√2⁢𝜉.

Le simulazioni teoriche mostrano che alcune geometrie specifiche, definite braided, migliorano ulteriormente la stabilità del sistema. In queste configurazioni intrecciate, le relazioni di fase tra gli atomi rendono l’entanglement più resistente alle perturbazioni esterne e agli errori di propagazione. I risultati numerici e analitici suggeriscono che il trasferimento di informazione quantistica può mantenere fedeltà elevata anche su distanze significative lungo il waveguide, un aspetto fondamentale per la costruzione di futuri processori modulari o reti quantistiche distribuite. In altre parole, il giant superatom non è solo un qubit più stabile, ma può diventare un nodo quantistico di comunicazione molto più affidabile.

Una nuova strada per computer quantistici fault-tolerant

image 403
(a) Schema di una struttura intrecciata estesa, in cui un atomo gigante è intrecciato con un GSA di tipo SSH. (b) Evoluzione temporale della distribuzione di probabilità di eccitazione nel GSA di tipo SSH con M =6E 𝜔1 =0. Riquadro: evoluzione temporale della fedeltà ℱdello stato trasferito rispetto allo stato topologico del bordo sinistro del GSA, supponendo che l’atomo gigante sia inizialmente eccitato. Altri parametri sono g0 =gn1 =gN =gn2con {n1,N,n2} ={1,2,3}, 𝜉/g0 =15, J1/g0 =0.5, E J2/g0 =1.5. (c) Schema di un “reticolo di entanglement strutturato” formato da una catena di GSA intrecciati. Ogni sito del reticolo codifica uno stato entangled degli atomi costituenti, piuttosto che un’eccitazione di un singolo atomo.

L’impatto teorico più importante riguarda il quantum computing fault-tolerant. Oggi gran parte della complessità dei computer quantistici deriva dalla necessità di implementare costosi meccanismi di correzione d’errore, perché ogni perdita di coerenza rende inutilizzabili molte operazioni. Con i giant superatoms, la robustezza è in parte intrinseca all’architettura stessa. Questo potrebbe ridurre l’overhead richiesto per proteggere i qubit, aumentare il numero di operazioni eseguibili prima dell’errore e rendere più realistici processori con molti più qubit logici. La compatibilità teorica con ottica quantistica, circuiti superconduttori e waveguide a microonde rende il modello particolarmente promettente anche dal punto di vista applicativo.

Il modello resta compatibile con piattaforme quantistiche esistenti

image 404
(a) Schema della struttura GSA separata. Il trasferimento di stato chirale ad alta efficienza tra GSA distanti è consentito ingegnerizzando la differenza di fase di accoppiamento. 𝜑. (b) I coefficienti di accoppiamento dipendenti dal tempo g⁡(𝑡)E g′⁡(𝑡)insieme all’evoluzione temporale delle fedeltà ℱIOE ℱIOIO. (c), (d) Evoluzione temporale della distribuzione dell’intensità del campo |unn⁡(𝑡)|2per i casi I e II (vedere il testo per i dettagli). Altri parametri sono 𝜔𝑗=1,2,3,4 ≡0, N =2, n1 =100, n2 =102, n3 =−102, n4 =−100, 𝜉/gMUNX =12.5, J =J′ =√2⁢𝜉, 𝜑 =𝜋/2, gMUNX⁡
˜ 𝜏 =5.657, E 𝛽/gMUNX =0.045.

Uno dei punti di forza dello studio è la sua versatilità sperimentale. Il concetto di giant superatom non è limitato a una singola piattaforma fisica, ma può essere adattato a atomi neutri, ioni intrappolati o qubit artificiali superconduttivi. Questo significa che i laboratori che già lavorano con waveguide ottici o circuiti a microonde potrebbero testare il modello senza dover ripensare completamente l’infrastruttura. La proposta include anche protocolli analitici e numerici dettagliati che permettono di simulare setup reali, valutare la fedeltà del trasferimento e stimare l’impatto della decoerenza residua in condizioni sperimentali concrete.

Chalmers rafforza la leadership nella fisica quantistica non locale

image 405
(a) Evoluzione temporale della distribuzione di probabilità (a sinistra) e profilo di distribuzione al tempo finale (a destra) di un reticolo di entanglement strutturato, formato da una catena di GSA bipartiti intrecciati. Il processo inizia con il quarto GSA preparato nel suo | +⟩stato vestito. (b) Tomografia dello stato (elementi della matrice di densità 𝜌SEL n,n′) dei 16 atomi fisici che formano il reticolo di entanglement strutturato, il che indica un entanglement multipartito non locale.

Lo studio firmato da Lei Du, Xin Wang, Anton Frisk Kockum e Janine Splettstoesser consolida il ruolo della Chalmers University of Technology come uno dei centri di riferimento nella fisica quantistica degli atomi giganti e accoppiamenti non locali. Il gruppo aveva già contribuito in modo significativo allo sviluppo del concetto di giant atoms singoli; con i giant superatoms porta ora l’idea a un livello collettivo molto più potente. La pubblicazione su Physical Review Letters conferma il peso scientifico del risultato e aumenta la probabilità che nei prossimi mesi emergano primi test sperimentali ispirati direttamente a questa architettura.

I giant superatoms possono ridefinire il networking quantistico

image 406
Schema dello schema esteso di generazione di entanglement, che coinvolge più GSA e canali di routing. In questo schema, il GSA emittente ( A) è composto da tre atomi in una catena e quindi presenta tre stati vestiti (con autofrequenze 𝜔0E 𝜔±, rispettivamente). GSA Aè accoppiato in modo non locale a entrambe le guide d’onda simultaneamente, tramite due punti di accoppiamento separati ciascuno. Le due autofrequenze inferiori, 𝜔−E 𝜔0, si trovano all’interno della banda energetica della guida d’onda W1, mentre quello superiore, 𝜔+, si trova all’interno della banda della guida d’onda W2Il sistema viene inizializzato con GSA Ain una sovrapposizione dei tre stati vestiti. Attraverso l’ingegnerizzazione delle differenze di fase tra i coefficienti di accoppiamento di GSA Ae applicando opportuni schemi di modulazione dell’accoppiamento, ogni componente dello stato di sovrapposizione iniziale può essere trasferito selettivamente ai GSA B, 𝐶, E D, rispettivamente.

Oltre al quantum computing, la proposta apre scenari molto interessanti per le reti quantistiche distribuite. La possibilità di trasferire entanglement con perdite ridotte attraverso un waveguide rende i giant superatoms candidati ideali come nodi stabili di quantum networking, capaci di collegare moduli di calcolo separati o futuri internet quantistici. La combinazione tra robustezza, trasferimento controllato e compatibilità con tecnologie esistenti potrebbe accelerare il passaggio da modelli teorici a implementazioni reali. Se i risultati verranno confermati sperimentalmente, questa architettura potrebbe segnare uno dei passi più importanti degli ultimi anni verso qubit più stabili, scalabili e realmente utilizzabili su larga scala.

Iscriviti alla Newsletter

Non perdere le analisi settimanali: Entra nella Matrice Digitale.

Matrice Digitale partecipa al Programma Affiliazione Amazon EU. In qualità di Affiliato Amazon, ricevo un guadagno dagli acquisti idonei. Questo non influenza i prezzi per te.

Torna in alto